La especificación de tuberías API 5L (actualizada en 2026) define los requisitos técnicos para las tuberías de acero al carbono utilizadas en el transporte de petróleo, gas natural, agua y otros fluidos en las industrias del petróleo y el gas natural.
Las tuberías API 5L están diseñadas para garantizar resistencia, dureza, soldabilidad y confiabilidad a largo plazo en condiciones operativas complejas.
Las tuberías de línea API 5L se pueden fabricar como tuberías sin costura o tuberías soldadas, incluidas las tuberías ERW (soldadas por resistencia eléctrica) y SAW (soldadas por arco sumergido).
Tipos de fabricación de tuberías API 5L
Según la norma API 5L, las tuberías de conducción se suministran en las siguientes formas:
- Tubos de acero sin costura
Adecuado para aplicaciones críticas y de alta presión, ofrece una estructura uniforme y un excelente rendimiento mecánico.
- Tuberías REG
Ampliamente utilizado para tuberías de media presión, ofreciendo alta precisión dimensional y rentabilidad.
- Tubos SAW (LSAW / SSAW)
Se aplica comúnmente en proyectos de ductos de gran diámetro y larga distancia, tanto en tierra como en alta mar.
Requisitos químicos de la tubería API 5L
Composición Química para tubería PSL 1 con t ≤ 0.984”
|
Grado de acero
|
Fracción de masa, % basado en análisis de calor y producto a,g
|
|
c
|
mn
|
pag
|
S
|
V
|
N.b.
|
Ti
|
|
máximo b
|
máximo b
|
máximo
|
máximo
|
máximo
|
máximo
|
máximo
|
|
Tubería sin costura
|
|
un
|
0.22
|
0.90
|
0.03
|
0.03
|
–
|
–
|
–
|
|
B
|
0.28
|
1.20
|
0.03
|
0.03
|
c,d
|
c,d
|
re
|
|
X42
|
0.28
|
1.30
|
0.03
|
0.03
|
re
|
re
|
re
|
|
X46
|
0.28
|
1.40
|
0.03
|
0.03
|
re
|
re
|
re
|
|
X52
|
0.28
|
1.40
|
0.03
|
0.03
|
re
|
re
|
re
|
|
X56
|
0.28
|
1.40
|
0.03
|
0.03
|
re
|
re
|
re
|
|
X60
|
0,28 mi
|
1,40 euros
|
0.03
|
0.03
|
f
|
f
|
f
|
|
X65
|
0,28 mi
|
1,40 euros
|
0.03
|
0.03
|
f
|
f
|
f
|
|
X70
|
0,28 mi
|
1,40 euros
|
0.03
|
0.03
|
f
|
f
|
f
|
|
Tubería soldada
|
|
un
|
0.22
|
0.90
|
0.03
|
0.03
|
–
|
–
|
–
|
|
B
|
0.26
|
1.20
|
0.03
|
0.03
|
c,d
|
c,d
|
re
|
|
X42
|
0.26
|
1.30
|
0.03
|
0.03
|
re
|
re
|
re
|
|
X46
|
0.26
|
1.40
|
0.03
|
0.03
|
re
|
re
|
re
|
|
X52
|
0.26
|
1.40
|
0.03
|
0.03
|
re
|
re
|
re
|
|
X56
|
0.26
|
1.40
|
0.03
|
0.03
|
re
|
re
|
re
|
|
X60
|
0,26 mi
|
1,40 euros
|
0.03
|
0.03
|
f
|
f
|
f
|
|
X65
|
0,26 mi
|
1,45 euros
|
0.03
|
0.03
|
f
|
f
|
f
|
|
X70
|
0.26e
|
1,65 euros
|
0.03
|
0.03
|
f
|
f
|
f
|
|
un. Cu ≤ = 0,50 % Ni; ≤ 0,50%; Cr≤0,50%; y Mo ≤ 0,15%,
B. Por cada reducción del 0,01 % por debajo de la concentración máxima especificada para el carbono, se permite un aumento del 0,05 % por encima de la concentración máxima especificada para el Mn, hasta un máximo del 1,65 % para los grados ≥ L245 o B, pero ≤ L360 o X52; hasta un máximo de 1,75% para grados > L360 o X52, pero < L485 o X70; y hasta un máximo del 2,00% para el grado L485 o X70.,
c. Salvo acuerdo en contrario NB + V ≤ 0,06%,
d. Nb + V + TI ≤ 0,15%,
e. A menos que se acuerde lo contrario.,
f. Salvo acuerdo en contrario, NB + V = Ti ≤ 0,15%,
g. No se permite la adición deliberada de B y el B residual ≤ 0,001%
|
Composición Química para tubería PSL 2 con t ≤ 0.984”
|
Grado de acero
|
Fracción de masa, % basado en análisis de calor y producto.
|
Carbono equivalente
|
|
c
|
si
|
mn
|
pag
|
S
|
V
|
N.b.
|
Ti
|
Otro
|
CE IIW
|
PCM CE
|
|
máximo b
|
máximo
|
máximo b
|
máximo
|
máximo
|
máximo
|
máximo
|
máximo
|
máximo
|
máximo
|
|
Tubería sin costura y soldada
|
|
BR
|
0.24
|
0.40
|
1.20
|
0.025
|
0.015
|
c
|
c
|
0.04
|
e, l
|
0.43
|
0.25
|
|
X42R
|
0.24
|
0.40
|
1.20
|
0.025
|
0.015
|
0.06
|
0.05
|
0.04
|
e,l
|
0.43
|
0.25
|
|
BN
|
0.24
|
0.40
|
1.20
|
0.025
|
0.015
|
c
|
c
|
0.04
|
e, l
|
0.43
|
0.25
|
|
X42N
|
0.24
|
0.40
|
1.20
|
0.025
|
0.015
|
0.06
|
0.05
|
0.04
|
e,l
|
0.43
|
0.25
|
|
X46N
|
0.24
|
0.40
|
1.40
|
0.025
|
0.015
|
0.07
|
0.05
|
0.04
|
d,e,l
|
0.43
|
0.25
|
|
X52N
|
0.24
|
0.45
|
1.40
|
0.025
|
0.015
|
0.10
|
0.05
|
0.04
|
d,e,l
|
0.43
|
0.25
|
|
X56N
|
0.24
|
0.45
|
1.40
|
0.025
|
0.015
|
0.10f
|
0.05
|
0.04
|
d,e,l
|
0.43
|
0.25
|
|
X60N
|
0.24f
|
0.45f
|
1.40f
|
0.025
|
0.015
|
0.10f
|
0.05f
|
0.04f
|
g,h,l
|
Según lo acordado
|
|
bq
|
0.18
|
0.45
|
1.40
|
0.025
|
0.015
|
0.05
|
0.05
|
0.04
|
e,l
|
0.43
|
0.25
|
|
X42Q
|
0.18
|
0.45
|
1.40
|
0.025
|
0.015
|
0.05
|
0.05
|
0.04
|
e,l
|
0.43
|
0.25
|
|
X46Q
|
0.18
|
0.45
|
1.40
|
0.025
|
0.015
|
0.05
|
0.05
|
0.04
|
e, l
|
0.43
|
0.25
|
|
X52Q
|
0.18
|
0.45
|
1.50
|
0.025
|
0.015
|
0.05
|
0.05
|
0.04
|
e, l
|
0.43
|
0.25
|
|
X56Q
|
0.18
|
0.45f
|
1.50
|
0.025
|
0.015
|
0.07
|
0.05
|
0.04
|
e, l
|
0.43
|
0.25
|
|
X60Q
|
0.18f
|
0.45f
|
1,70f
|
0.025
|
0.015
|
gramo
|
gramo
|
gramo
|
hola
|
0.43
|
0.25
|
|
X65Q
|
0.18f
|
0.45f
|
1,70f
|
0.025
|
0.015
|
gramo
|
gramo
|
gramo
|
hola
|
0.43
|
0.25
|
|
X70Q
|
0.18f
|
0.45f
|
1.80f
|
0.025
|
0.015
|
gramo
|
gramo
|
gramo
|
hola
|
0.43
|
0.25
|
|
X80Q
|
0.18f
|
0.45f
|
1.90f
|
0.025
|
0.015
|
gramo
|
gramo
|
gramo
|
yo, j
|
Según lo acordado
|
|
X90Q
|
0.16f
|
0.45f
|
1.90
|
0.020
|
0.010
|
gramo
|
gramo
|
gramo
|
jk
|
Según lo acordado
|
|
X100Q
|
0.16f
|
0.45f
|
1.90
|
0.020
|
0.010
|
gramo
|
gramo
|
gramo
|
jk
|
Según lo acordado
|
|
Tubería soldada
|
|
BM
|
0.22
|
0.45
|
1.20
|
0.025
|
0.015
|
0.05
|
0.05
|
0.04
|
e, l
|
0.43
|
0.25
|
|
X42M
|
0.22
|
0.45
|
1.30
|
0.025
|
0.015
|
0.05
|
0.05
|
0.04
|
e, l
|
0.43
|
0.25
|
|
X46M
|
0.22
|
0.45
|
1.30
|
0.025
|
0.015
|
0.05
|
0.05
|
0.04
|
e, l
|
0.43
|
0.25
|
|
X52M
|
0.22
|
0.45
|
1.40
|
0.025
|
0.015
|
re
|
re
|
re
|
e, l
|
0.43
|
0.25
|
|
X56M
|
0.22
|
0.45f
|
1.40
|
0.025
|
0.015
|
re
|
re
|
re
|
e, l
|
0.43
|
0.25
|
|
X60M
|
0.12f
|
0.45f
|
1.60f
|
0.025
|
0.015
|
gramo
|
gramo
|
gramo
|
hola
|
0.43
|
0.25
|
|
X65M
|
0.12f
|
0.45f
|
1.60f
|
0.025
|
0.015
|
gramo
|
gramo
|
gramo
|
hola
|
0.43
|
0.25
|
|
X70M
|
0.12f
|
0.45f
|
1,70f
|
0.025
|
0.015
|
gramo
|
gramo
|
gramo
|
hola
|
0.43
|
0.25
|
|
X80M
|
0.12f
|
0.45f
|
1,85f
|
0.025
|
0.015
|
gramo
|
gramo
|
gramo
|
yo, j
|
.043f
|
0.25
|
|
X90M
|
0.1
|
0.55f
|
2.10f
|
0.02
|
0.01
|
gramo
|
gramo
|
gramo
|
yo, j
|
–
|
0.25
|
|
X100M
|
0.1
|
0.55f
|
2.10f
|
0.02
|
0.01
|
gramo
|
gramo
|
gramo
|
yo, j
|
–
|
0.25
|
|
un. SMLS t>0,787", los límites CE serán los acordados. Los límites CEIIW se aplican fi C > 0,12% y los límites CEPcm se aplican si C ≤ 0,12%.
B. Por cada reducción del 0,01% por debajo del máximo especificado para C, se permite un aumento del 0,05% por encima del máximo especificado para Mn, hasta un máximo del 1,65% para los grados ≥ L245 o B, pero ≤ L360 o X52; hasta un máximo del 1,75% para grados > L360 o X52, pero < L485 o X70; hasta un máximo de 2,00% para grados ≥ L485 o X70, pero ≤ L555 o X80; y hasta un máximo del 2,20% para grados > L555 o X80.,
c. Salvo acuerdo en contrario Nb = V ≤ 0,06%,
d. Nb = V = Ti ≤ 0,15%,
e. Salvo pacto en contrario, Cu ≤ 0,50%; Ni ≤ 0,30% Cr ≤ 0,30% y Mo ≤ 0,15%,
f. A menos que se acuerde lo contrario,
g. Salvo acuerdo en contrario, Nb + V + Ti ≤ 0,15%,
h. Salvo acuerdo en contrario, Cu ≤ 0,50% Ni ≤ 0,50% Cr ≤ 0,50% y MO ≤ 0,50%,
yo. Salvo acuerdo en contrario, Cu ≤ 0,50% Ni ≤ 1,00% Cr ≤ 0,50% y MO ≤ 0,50%,
j. B ≤ 0,004%,
k. Salvo acuerdo en contrario, Cu ≤ 0,50% Ni ≤ 1,00% Cr ≤ 0,55% y MO ≤ 0,80%,
l. Para todos los grados de tubería PSL 2, excepto aquellos grados con notas a pie de página j, se aplica lo siguiente. A menos que se acuerde lo contrario, no se permite la adición intencionada de B y el B residual ≤ 0,001%.
|
Propiedades mecánicas de la tubería API 5L
|
Grado de tubería
|
Propiedades de tracción: cuerpo de tubería de SMLS y tuberías soldadas PSL 1
|
Costura de tubería soldada
|
|
Límite elástico a
|
Resistencia a la tracción
|
Elongación
|
Resistencia a la tracciónb
|
|
Rt0,5 PSI Mín.
|
PSI mín.
|
(en 2 pulg. Af % mín.)
|
PSI mín.
|
|
un
|
30.500
|
48.600
|
c
|
48.600
|
|
B
|
35.500
|
60.200
|
c
|
60.200
|
|
X42
|
42.100
|
60.200
|
c
|
60.200
|
|
X46
|
46.400
|
63.100
|
c
|
63.100
|
|
X52
|
52.200
|
66.700
|
c
|
66.700
|
|
X56
|
56.600
|
71.100
|
c
|
71.100
|
|
X60
|
60.200
|
75.400
|
c
|
75.400
|
|
X65
|
65.300
|
77.500
|
c
|
77.500
|
|
X70
|
70.300
|
82.700
|
c
|
82.700
|
|
un. Para el grado intermedio, la diferencia entre la resistencia a la tracción mínima especificada y el límite elástico mínimo especificado para el cuerpo de la tubería será la dada para el grado inmediatamente superior.
|
|
b. Para los grados intermedios, la resistencia a la tracción mínima especificada para la costura de soldadura será la misma que la determinada para el cuerpo utilizando la nota a pie de página.
|
|
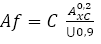
do. El alargamiento mínimo especificado, Af, expresado en porcentaje y redondeado al porcentaje más cercano, se determinará utilizando la siguiente ecuación:
|
|
|
|
Donde C es 1 940 para el cálculo utilizando unidades Si y 625 000 para el cálculo utilizando unidades USC
|
|
Axc es el área de la sección transversal de la pieza de prueba de tracción aplicable, expresada en milímetros cuadrados (pulgadas cuadradas), de la siguiente manera
|
|
– Para probetas de sección transversal circular, 130 mm2 (0,20 in2) para piezas de prueba de 12,7 mm (0,500 in) y 8,9 mm (0,350 in) de diámetro; y 65 mm2 (0,10 in2) para piezas de prueba de 6,4 mm (0,250 in) de diámetro.
|
|
– Para piezas de prueba de sección completa, el menor de a) 485 mm2 (0,75 in2) y b) el área de la sección transversal de la pieza de prueba, derivada utilizando el diámetro exterior especificado y el espesor de pared especificado de la tubería, redondeado al 10 mm2 (0,10 in2) más cercano.
|
|
– Para piezas de prueba en tira, el menor de a) 485 mm2 (0,75 in2) y b) el área de la sección transversal de la pieza de prueba, derivada utilizando el ancho especificado de la pieza de prueba y el espesor de pared especificado de la tubería, redondeado al 10 mm2 (0,10 in2) más cercano.
|
|
U es la resistencia a la tracción mínima especificada, expresada en megapascales (libras por pulgada cuadrada)
|
|
Grado de tubería
|
Propiedades de tracción: cuerpo de tubería de SMLS y tuberías soldadas PSL 2
|
Costura de tubería soldada
|
|
Límite elástico a
|
Resistencia a la tracción
|
Relación a,c
|
Elongación
|
Resistencia a la tracción d
|
|
Rt0,5 PSI Mín.
|
Sala PSI mín.
|
R10,5IRm
|
(en 2 pulgadas)
|
RM (psi)
|
|
|
|
|
Af%
|
|
|
Mínimo
|
Máximo
|
Mínimo
|
Máximo
|
Máximo
|
Mínimo
|
Mínimo
|
|
BR, BN, BQ, BM
|
35.500
|
65.300
|
60.200
|
95.000
|
0.93
|
f
|
60.200
|
|
X42,X42R,X2Q,X42M
|
42.100
|
71.800
|
60.200
|
95.000
|
0.93
|
f
|
60.200
|
|
X46N,X46Q,X46M
|
46.400
|
76.100
|
63.100
|
95.000
|
0.93
|
f
|
63.100
|
|
X52N,X52Q,X52M
|
52.200
|
76.900
|
66.700
|
110.200
|
0.93
|
f
|
66.700
|
|
X56N,X56Q,X56M
|
56.600
|
79.000
|
71.100
|
110.200
|
0.93
|
f
|
71.100
|
|
X60N,X60Q,S60M
|
60.200
|
81.900
|
75.400
|
110.200
|
0.93
|
f
|
75.400
|
|
X65Q,X65M
|
65.300
|
87.000
|
77.600
|
110.200
|
0.93
|
f
|
76.600
|
|
X70Q,X65M
|
70.300
|
92.100
|
82.700
|
110.200
|
0.93
|
f
|
82.700
|
|
X80Q,X80M
|
80.500
|
102.300
|
90.600
|
119.700
|
0.93
|
f
|
90.600
|
|
un. Para grado intermedio, consulte la especificación API5L completa.
|
|
b. para grados > X90, consulte la especificación API5L completa.
|
|
do. Este límite aplica para empanadas con D>12.750 en
|
|
d. Para grados intermedios, la resistencia a la tracción mínima especificada para la costura de soldadura debe ser el mismo valor que se determinó para el cuerpo de la tubería usando el pie a.
|
|
mi. para tuberías que requieren pruebas longitudinales, el límite elástico máximo será ≤ 71,800 psi
|
|
f. El alargamiento mínimo especificado, Af, expresado en porcentaje y redondeado al porcentaje más cercano, se determinará utilizando la siguiente ecuación:
|
|
|
|
Donde C es 1 940 para el cálculo utilizando unidades Si y 625 000 para el cálculo utilizando unidades USC
|
|
Axc es el área de la sección transversal de la pieza de prueba de tracción aplicable, expresada en milímetros cuadrados (pulgadas cuadradas), de la siguiente manera
|
|
– Para probetas de sección transversal circular, 130 mm2 (0,20 in2) para piezas de prueba de 12,7 mm (0,500 in) y 8,9 mm (0,350 in) de diámetro; y 65 mm2 (0,10 in2) para piezas de prueba de 6,4 mm (0,250 in) de diámetro.
|
|
– Para piezas de prueba de sección completa, el menor de a) 485 mm2 (0,75 in2) y b) el área de la sección transversal de la pieza de prueba, obtenida utilizando el diámetro exterior especificado y el espesor de pared especificado de la tubería, redondeado al 10 mm2 (0,10 in2) más cercano.
|
|
– Para piezas de prueba en tira, el menor de a) 485 mm2 (0,75 in2) y b) el área de la sección transversal de la pieza de prueba, derivada utilizando el ancho especificado de la pieza de prueba y el espesor de pared especificado de la tubería, redondeado al 10 mm2 (0,10 in2) más cercano.
|
|
U es la resistencia a la tracción mínima especificada, expresada en megapascales (libras por pulgada cuadrada
|
|
g. Se pueden especificar valores más bajos para R10,5IRm mediante acuerdo.
|
|
h. para grados > x90, consulte la especificación API5L completa.
|
Conclusión: Por qué son importantes las especificaciones de tuberías API 5L en 2026
A medida que los proyectos globales de tuberías continúan avanzando hacia presiones más altas, distancias más largas, entornos más hostiles y regulaciones de seguridad más estrictas, la especificación de tuberías API 5L (actualización de 2026) sigue siendo el principal estándar de referencia internacional para la selección de tuberías.
Comprender el tipo de fabricación, el grado y el nivel de PSL de las tuberías API 5L ayuda a los ingenieros, contratistas y equipos de adquisiciones a:
Mejorar la seguridad de las tuberías
Optimice el equilibrio costo-rendimiento
Garantice la confiabilidad operativa a largo plazo
Seleccionar la tubería API 5L correcta no es solo una cuestión de cumplimiento: es una decisión de ingeniería crítica que afecta directamente el rendimiento de la tubería y el costo del ciclo de vida.
Preguntas frecuentes
P1: ¿Para qué se utiliza la tubería API 5L?
R: La tubería API 5L se utiliza para transportar petróleo, gas natural, agua y otros fluidos en sistemas de tuberías terrestres y marinos.
P2: ¿Cuál es la diferencia entre API 5L PSL1 y PSL2?
R: PSL2 tiene requisitos de inspección y pruebas de impacto químicos, mecánicos y más estrictos que PSL1.
P3: ¿Qué tipos de fabricación están permitidos según API 5L?
R: Las tuberías sin costura, ERW y SAW (LSAW y SSAW) están permitidas según API 5L.
P4: ¿Qué grados API 5L se utilizan con mayor frecuencia?
R: Los grados B, X52, X60, X65 y X70 se utilizan ampliamente en proyectos de tuberías modernos.
P5: ¿Es API 5L adecuado para tuberías de servicios amargos?
R: Sí. Las tuberías API 5L PSL2 se pueden suministrar para servicio amargo con requisitos de dureza y composición química controlados.